__________________________________________________________________________________________________________________________________...
__________________________________________________________________________________________________________________________________...
AEROSPACE MATERIAL SPECIFICATION Copper-Beryllium Alloy, Bars and Rods 98Cu - 1.9Be (CDA 172) Hard Temper (TD04) (...
__________________________________________________________________________________________________________________________________...
__________________________________________________________________________________________________________________________________...
__________________________________________________________________________________________________________________________________...
__________________________________________________________________________________________________________________________________...
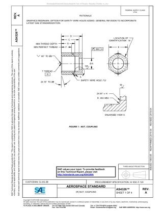
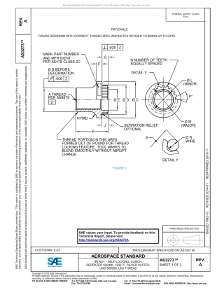
_____________________________________________________________________________________________________ ___________________________...
__________________________________________________________________________________________________________________________________...
__________________________________________________________________________________________________________________________________...
__________________________________________________________________________________________________________________________________...
AEROSPACEMATERIAL SPECIFICATIONAMS2406REV. NIssued1946-11Revised2015-01Superseding AMS2406MPlating, ChromiumHard DepositRATIO...
__________________________________________________________________________________________________________________________________...
__________________________________________________________________________________________________________________________________...
__________________________________________________________________________________________________________________________________...
__________________________________________________________________________________________________________________________________...
__________________________________________________________________________________________________________________________________...
__________________________________________________________________________________________________________________________________...
__________________________________________________________________________________________________________________________________...
__________________________________________________________________________________________________________________________________...

